Capacitors are ubiquitous in the world of electronics, fundamental to the operation of countless devices and systems. They are simple in their design but remarkably versatile in their applications. To truly appreciate the role of capacitors in modern technology, it’s essential to delve into their structure, underlying principles, behavior in circuits, and the breadth of their applications. This comprehensive exploration will provide a thorough understanding of how capacitors work, extending into their impact on technology and their future potential.
The Basic Structure of a Capacitor
At its core, a capacitor consists of two conductive plates separated by an insulating material known as a dielectric. This basic structure can be realized in various forms, from the simple parallel-plate capacitor to more complex designs like cylindrical or spherical capacitors. The conductive plates are typically made from metal, such as aluminum or tantalum, while the dielectric material can range from ceramic to polymer films, depending on the specific application.
The plates are connected to an external circuit, usually through terminals that allow for the application of voltage. When a voltage is applied across the plates, an electric field is generated within the dielectric, leading to the accumulation of charges on the plates—positive on one plate and negative on the other. This charge separation is the fundamental mechanism by which capacitors store electrical energy.
The Physics Behind Charge Storage
The process of storing energy in a capacitor is governed by the principles of electrostatics. When a voltage
V is applied across the capacitor’s plates, an electric field
E develops in the dielectric material. This field exerts a force on the free electrons in the conductive plates, causing them to move. Electrons accumulate on one plate, creating a negative charge, while the other plate loses electrons, becoming positively charged.
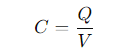
The dielectric material plays a crucial role in enhancing the capacitor’s ability to store charge. It does so by reducing the electric field between the plates for a given amount of stored charge, which effectively increases the capacitance of the device. Capacitance
C is defined as the ratio of the charge
Q stored on the plates to the voltage
V applied:

This equation indicates that capacitance is directly proportional to the charge stored for a given voltage. The unit of capacitance is the farad (F), named after Michael Faraday, a pioneer in the study of electromagnetism.
Several factors influence a capacitor’s capacitance:
- Surface Area of the Plates: Larger plates can store more charge, leading to higher capacitance.
- Distance Between the Plates: A smaller distance increases the electric field strength and, thus, the capacitance.
- Dielectric Material: The type of dielectric affects the capacitor’s ability to store charge. Materials with a higher dielectric constant (permittivity) increase capacitance.
In practical terms, capacitors typically have capacitances ranging from picofarads (pF) to farads (F), depending on their size, design, and intended use.
Energy Storage and Release
The energy stored in a capacitor is a function of its capacitance and the square of the voltage across its plates. The energy
E stored can be expressed as:

This equation reveals that the energy stored in a capacitor increases with both the capacitance and the voltage. Importantly, the energy storage mechanism in capacitors is different from that of batteries. While batteries store energy chemically and release it slowly, capacitors store energy electrostatically and can release it almost instantaneously. This difference makes capacitors ideal for applications requiring quick bursts of energy.
When the external circuit allows, the capacitor can discharge its stored energy, releasing the accumulated charge. This discharge process can power various components in a circuit, depending on the capacitor’s capacity and the circuit’s requirements.
Capacitors in AC and DC Circuits
The behavior of capacitors varies significantly between direct current (DC) and alternating current (AC) circuits, making them versatile components in electronic design.
- Capacitors in DC Circuits: In a DC circuit, when a capacitor is connected to a voltage source, it initially allows current to flow as it charges up. As the capacitor charges, the voltage across its plates increases, opposing the applied voltage. Eventually, the voltage across the capacitor equals the applied voltage, and the current flow stops, at which point the capacitor is fully charged. At this stage, the capacitor acts as an open circuit, effectively blocking any further current flow.This property is exploited in applications like smoothing out fluctuations in power supplies, where capacitors can filter out ripples in DC voltage, providing a steady output.
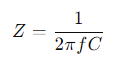
- Capacitors in AC Circuits: In an AC circuit, the voltage applied to a capacitor continuously changes direction. This changing voltage causes the capacitor to alternately charge and discharge with each cycle of the AC signal. Because of this behavior, capacitors in AC circuits allow the AC current to pass through while blocking any DC components.The impedance
Z of a capacitor in an AC circuit is given by:

Where f is the frequency of the AC signal. This equation shows that a capacitor’s impedance decreases with increasing frequency, making capacitors useful in filtering applications where they can block low-frequency signals (such as DC) while allowing high-frequency signals (such as AC) to pass.
Practical Applications of Capacitors
Capacitors are integral to numerous applications across various fields of technology. Their ability to store and release energy, filter signals, and influence the timing of circuits makes them indispensable in many electronic devices.
- Power Supply Systems: In power supply circuits, capacitors are used to smooth out fluctuations in voltage, providing a stable output. This is particularly important in devices that require a consistent power supply, such as computers and smartphones. Capacitors in these systems act as filters, absorbing spikes and dips in voltage and ensuring a steady flow of electricity.Additionally, capacitors are used in uninterruptible power supplies (UPS) to provide backup power during short outages. Large capacitors, known as supercapacitors, are especially effective in these applications due to their high capacitance and ability to discharge rapidly.
- Signal Processing: In analog circuits, capacitors play a crucial role in signal processing. They are used in filters to pass or block specific frequency ranges, shaping the signal for further processing. For example, in audio equipment, capacitors help to filter out unwanted noise, ensuring that only the desired audio frequencies are amplified and transmitted.Capacitors are also used in coupling and decoupling applications. In coupling, a capacitor allows AC signals to pass from one stage of a circuit to another while blocking DC components that could interfere with the operation of subsequent stages. In decoupling, capacitors are placed across power supply lines to filter out noise and prevent it from affecting sensitive components.
- Tuning Circuits: In radio and communication systems, capacitors are used in conjunction with inductors to create resonant circuits that can be tuned to specific frequencies. This tuning capability is essential for selecting desired signals from a broad spectrum, such as in radio receivers, where capacitors help to isolate and amplify the signal of interest.
- Timing and Oscillator Circuits: Capacitors, in combination with resistors, are used to create timing circuits, such as those found in clocks, timers, and pulse generators. The charging and discharging of a capacitor through a resistor create predictable time delays, which can be used to generate periodic signals or to trigger events at specific intervals.Oscillator circuits, which produce continuous waveforms, also rely on capacitors. In these circuits, the capacitor’s charge and discharge cycles create the oscillations needed for generating signals used in everything from radio transmitters to electronic music synthesizers.
- Energy Storage: Supercapacitors, also known as ultracapacitors, represent a significant advancement in energy storage technology. These devices can store large amounts of energy and release it quickly, making them suitable for applications requiring rapid energy delivery, such as in regenerative braking systems in electric vehicles. Unlike traditional batteries, supercapacitors have longer lifespans, can withstand more charge-discharge cycles, and charge much faster.Supercapacitors are also being explored for use in renewable energy systems, where they can store energy generated by solar panels or wind turbines and release it when needed, helping to stabilize the power grid.
- Electrolytic Capacitors: Electrolytic capacitors are a type of capacitor that uses an electrolyte to achieve higher capacitance than other types. They are commonly used in applications where large capacitance is required in a small volume, such as in power supply filtering and audio amplifiers. However, they have a limited lifespan compared to other capacitors, as the electrolyte can dry out over time, leading to a loss of capacitance and eventual failure.
Future Trends and Innovations in Capacitor Technology
As technology continues to evolve, so too does the development of capacitor technology. Researchers are exploring new materials and designs to improve the performance of capacitors, making them more efficient, durable, and capable of storing even more energy.
- Nanotechnology: Advances in nanotechnology are leading to the development of capacitors with enhanced properties. By using nanomaterials, such as graphene and carbon nanotubes, researchers can create capacitors with higher energy densities and faster charge-discharge cycles. These innovations could lead to smaller, more powerful capacitors that are ideal for use in portable electronics and electric vehicles.
- Solid-State Capacitors: Solid-state capacitors, which use a solid electrolyte instead of a liquid one, are becoming more common in high-performance applications. These capacitors offer improved reliability, longer lifespans, and better performance at high temperatures compared to traditional electrolytic capacitors.
- Flexible and Wearable Electronics: As wearable technology and flexible electronics become more popular, there is a growing demand for capacitors that can bend and stretch without losing functionality. Researchers are developing flexible capacitors using materials like conductive polymers and stretchable films, enabling new applications in healthcare, fitness, and consumer electronics.
- Energy Harvesting: Capacitors are also playing a role in energy harvesting technologies, where they are used to store energy captured from environmental sources, such as solar panels, vibrations, or heat. These systems can provide power to small devices or sensors in remote locations, reducing the need for traditional batteries.
- High-Temperature Capacitors: There is ongoing research into capacitors that can operate at higher temperatures, which is crucial for applications in aerospace, automotive, and industrial settings. These capacitors use advanced dielectric materials that can withstand extreme conditions, ensuring reliable performance in harsh environments.
Conclusion
Capacitors are indispensable components in modern electronics, playing critical roles in energy storage, signal processing, power management, and timing circuits. Their ability to store and release energy rapidly makes them uniquely suited to a wide range of applications, from smoothing power supplies to enabling the operation of complex communication systems. As technology continues to advance, the development of new capacitor designs and materials promises to expand their capabilities even further, driving innovation in areas such as renewable energy, flexible electronics, and high-performance computing. Understanding how capacitors work, and appreciating their versatility and impact, provides a foundation for exploring the vast and ever-growing field of electronics.
Post time: Aug-20-2024